欢迎持续关注微信公众号 “ 乐生活与爱IT ” ,我会在上面发表《被误解的区块链》的系列文章,相信对于区块链初学者,会有所助益。另外,文章末尾也荟萃了二十篇区块链相关的经典文章,欢迎阅读。
之前发表过的两篇如下:
被误解的区块链
被误解的区块链 (2) – 区块链一定要挖矿吗?
今天讨论一下,区块链必须是去中心化的吗?

首先,开宗明义,区块链打造的是可信基础设施。它是比特币的底层逻辑,但还在发展过程中,许多人对于区块链都有着理想的憧憬,原教旨区块链主义者眼里容不得沙子,通常会认为:不是去中心化的,不能叫做区块链。
我也同意,理想的区块链必须是点对点,而且不受某个个人、组织乃至国家或者跨国联盟所控制的。但是,正如我在《被误解的区块链》所提到:达到理想状态又会非常漫长,数十年甚至百年以上。我们最好不要把未来几十年甚至上百年的标准(理想状态下),来局限当下的发展。
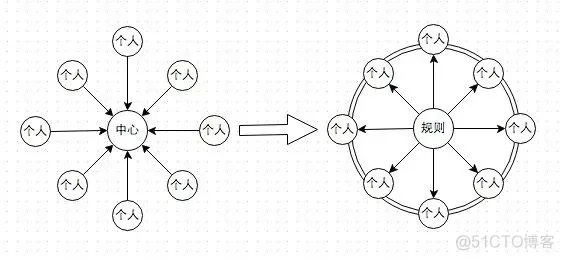
一、Decentralization
首先,去中心化这个词,本身就有争议,而且容易引起误会。原始英文单词是Decentralization,翻译成“分布式” 、或者“非中心化”,或者“多中心化”,可能更好一些。
因为,随着事物的发展,市场的动态博弈,仍然会形成大大小小的不同中心。纯粹的无中心的网络是非常罕见的,换句话说当网络大到一定程度,网络中的每一个节点的规模、体量、权重、影响完全一样是不现实的,而且可能是不经济的。人,生来就有禀赋差异,网络中的节点也是如此,或者在发展过程中会形成差异,各个节点之间一定会在规模、体量、权重、影响等方面表现不一样。其实,正是这些差异才造就了多元化、丰富多彩、价值可以最大化地给整个网络、联盟或经济体做出贡献。
二、“弱中心化”或“半中心化”是必经之道
另外,迈向“非中心化”的征途中,也许“弱中心化”或“半中心化”是必经之道,或者是通向彼岸的选择之一。例如,联盟链的兴起和落地。再如EOS,大家知道EOS有21个超级节点,按照DPOS共识算法组织,曾被多人诟病,说它是一个“伪区块链”,或“伪公链”。我对EOS也不感冒,但辩证地观察,它的出现,以及运行现状也许会给我们带来一定的启发:
我曾听说过一位DApp的游戏初创公司的老板提到,他们现在已经不再以太坊(对应的数字货币是ETH)上开发了,因为速度太慢,用户体验不好;只在EOS开发。由此想到,对于用户而言,他们并不关注特别新特别前瞻的技术,重要的是,能否沿用原来的使用习惯,至少不要改变太大,是否可靠、稳定,是否值得信任。因此,任何前瞻性的技术,除非性价比提升两三个数量级以上,否则还是得照顾到原有的,体量庞大的,存量用户的使用习惯(包括用户体验),不然只有少数尝新者才会感兴趣,而这样很难做大。当然我们也要注意到,以太坊也在不断迭代和发展。
而EOS可能就是介于中心化和非中心化的一个较好的折衷。其实FaceBook的Libra这个超级联盟链,也是一个折衷。我猜测,除了区块链基础设施(区块链存储、区块链网络等)会在区块链发展初期就出现公链形态以外,未来涌现更多的是类似EOS、联盟链这种“弱中心化”或“半中心化”的网络形态。因为区块链终究要和实体经济相结合,这样的话,就会与细分行业相结合,那么公链就不是必须的,许可链的成本很可能更低,因为许可链无需考虑作恶节点,而且性能有所保障(因为需要许可才能加入,可以强制要求节点的硬件配置、环境达到一定的水准之上)。
三、我的理解 – 所有权、使用权和运营权
我在《民主与科学》杂志2019年6月4日上发表的《新世界的崛起和意义——区块链定义的虚拟世界》(最早发表在2019年3月7日的微信公众号 比特数字)曾提到:
“区块链使得软件系统运行在成千上万个节点上,而且大家做的是同一件事情:记账或者记日志。这成千上万个节点的物理硬件的所有权归于不同的个体或组织,而且他们之间还相互不认识。因此,这个软件系统不仅从物理位置上实现了解耦(架构的去中心化),还实现了使用权和所有权的解耦(组织的去中心化)。实际上,整条公链的各个节点,是基于共识(公开的规则),由许许多多相互不认识的个体或组织,以自组织的方式构建而成,本质上没有任何个体或组织拥有所有权。因此也就没有单一的控制方能掌控,或者篡改上面的指令或数据。这是一种非常彻底的解耦”。
今天受邀参加一个区块链的聚餐,受王总分享的启发,当我在思考如何补充有关分布式和去中心化区别的时候,想到了运营权的提法。首先,从自建机房或数据中心运行业务信息系统,到租用公有云的方式运行信息系统,实现了物理存储空间上,所有权和使用权的分离;此时物理空间的运营权,物理空间的所有权都归云存储厂商所有,例如AWS云存储、阿里云存储、七牛云存储等。
那么区块链存储(也即跨越全球的存储资源+Token激励机制)和中心化云存储的区别是什么?

我认为,可以把“运营权”或叫做“经营权”的概念加入进来,更有助于理解。合理的设计中,区块链存储(也即非中心化,或者弱中心化的云存储)连所有权都不要了,只保留了运营权。正因如此,数据的隐私才更有可能得到保护,因为区块链存储的运营方(通俗说就是某种区块链存储数字货币的项目方)也没有存储空间的所有权,无法掌控整个数据。例如,一个大约26MB的视频,分成分成100多个256KB的切片,甚至还通过加密的方式,存放在不同矿工的存储节点(或者是专有存储矿机,或者是连接到电脑的硬盘的剩余空间)上,如果没有私钥,即便是运营方,都无法窃取整个视频,或者整个数据。
后来,又受殷总的讨论启发,让我想起2019年3月8日,我参加《货币的非国家化》再版新书发布会时,和张曙光攀谈听到过他提出的所有权为中心 转变成 使用权为中心的企业理论。忽然发现,似乎有异曲同工之妙。我并没有深入思考,欢迎感兴趣的朋友,尤其是经济学爱好者或经济学者、经济学家将这一理论,结合区块链进行前瞻性的探索。
在网页《张曙光看孙大午立宪——以使用权为中心的企业制度》
(网址是:http://www.sohu.com/a/323415509_733404)提到:
“移动互联网信息技术和数字经济发展起来以后,由于数字信息资源和原来的物质资源有两个重要的区别,一是全覆盖,一切社会和自然现象都可以数字化;二是数字信息资源可以无限复制,而且是零成本的无限复制,可以非排他性使用,就是说,你用并不影响我用,大家都可以用。所以,新经济的发展出现了一个很重要的经济现象,就是从所有权中心向使用权中心转变”。
这是信息互联网的特点,如果再进一步思考价值互联网(也即区块链),以及所有权、使用权、经营权的关系,也许我们会得出新的启发。如果言之有物,欢迎投稿。
四、以太坊创始人 V神的理解
谈到去中心化,研究V神的观点是应有之义。下面仅摘取片段,想全面理解的朋友可以去阅读36氪上的《去中心化的三个维度》
V神谈去中心化的摘要:
“区块链是政治去中心化(没人控制区块链)、结构去中心化(没有基础设施性的中心失败点)的,但是在逻辑上是中心化的(有一个公认的状态,整个系统行为就像一个计算机一样)。”

乐生活与爱IT
2022-04-12 16:24:05